Copyright © Cay S. Horstmann 2011 
This work is licensed under a Creative Commons Attribution-Noncommercial-Share Alike 3.0 United
States License.
expr ::= term (( "+" | "-" ) expr)?
term ::= factor (( "*" | "/" ) term)?
factor ::= wholeNumber | "(" expr ")"
expr term factorwholeNumber "("
"+" ...
[10][10][20]
bounds ::= bound | bound bounds bound = "[" number "]"
bounds ::= (bound)+
def bounds = bound ~ rep(bound) ^^ { case head ~ tail => head :: tail }
bound = "[" ~> number <~ "]" ^^ { _.toInt }
rep1 convenience combinator
def bounds = rep1(bound)
No transform needed
id(arg1, arg2,
...)
funcall ::= ident ~ "(" ~ expr ("," expr)* ")"
def funcall = ident ~ "(" ~> repsep(expr, ",") <~ ")"
repsep returns List without separators; here,
List[Expr]
* / stronger than + -:
expr ::= term (( "+" | "-" ) expr)?
term ::= factor (( "*" | "/" ) term)?
factor ::= wholeNumber | "(" expr ")"
term ::= factor (( "*" | "/" ) term)?
factor ::= factor1 ( "^" factor )?
factor1 ::= wholeNumber | "(" expr ")"
== <>
expr ::= expr1 (( "==" | "<>" ) expr)?
expr1 ::= term (( "+" | "-" ) expr1)?
term ::= factor (( "*" | "/" ) term)?
factor ::= wholeNumber | "(" expr ")"
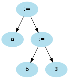
assignment ::= ident ":=" assignment | ident ":=" expr
a := b := 3
parses as

3 + 4 * 5expr ::= term (( "+" | "-" )
expr)?term → factor →
wholeNumber, back in term:
term ::= factor
term ::= factor ("*" | "/") term
("*" | "/") term? No—next token
is "+"expr ::= expr "+" term | term
expr must be a
term
expr ::= term | term rest rest ::= "+" term rest
def expr = term ~ rep("+" ~> term) ^^
{ case a ~ lst => (a /: lst) { Sum(_, _) } }
(See previous lecture for details)
A ::= α β | α γ
it can't be LL(1)
Assignment statement and procedure call both start with identifier
stat ::= ident ":=" expr | ident "(" expr ("," expr)* ")" | ...
stat ::= ident rest | ...
rest ::= ":=" expr | "(" expr ("," expr)* ")"
opt and match
def stat = ident ~ (":=" expr | "(" expr ")")
if with optional else
ifstat ::= "if" "(" expr ")" stat ("else" stat)?
if (c1) if (c2) s1 else s2
or
(("if" ~ "(") ~> expr <~ ")") ~ stat ~ opt("else" ~> expr)
<...>
<expr> ::= <term> | <term> (+ | -) <expr>
Then no "..." around terminals
[...], {...} instead of (...)?,
(...)*
Submit lab work to Sakai.
< name>
Which grammar rule did you use to answer this question?
/> in an empty-element tag?
<name />
Which grammar rule did you use to answer this question?
= in an attribute?
<name attr = "value">
Which grammar rule did you use to answer this question?
Parser[Any]. What is your program? What output do you get for
function area(a: integer; b: real; c: integer): real;
For
function area(a: integer; b, c: real): real;
Function object, defined
below:
case class Variable(name : String, `type` : String) // type is a reserved word in Scala. // We use `...` to parse it as an identifier case class Function(name : String, params : List[Variable], returnType : String)
Do only the easy part, where all params have the form
repsep(param, ";") where param is ident ~
":" ~ ident. That is, don't yet handle parameter groups of the form
a, b : type. (You'll do that later in the term project.)
What is your program? What output do you get for
function area(a: integer; b: real; c: integer): real;
Hint: Transform parameters into Variable objects
def param: Parser[Variable] = ident ~ (":" ~> ident) ^^
{ case i ~ t => Variable(i, t) }
Hint: You always want to use ~> and
<~ to throw away tokens. But you often need parentheses.
Note that ~, ~>, and <- are
left associative and <- has lower precedence than
~, ~>.For example,
ident ~ (":" ~> ident)
or
(ident <~ ":") ~ ident
expr ::= "if" "(" number ")" expr ("else" expr)? | number
What is your program? What do you get when you parse
if (1) if (2) 3 else 4
else
associates with the first or second if. Enhance your program
to yield a IfExpr. Use the following outline:
class Expr
case class IfExpr(cond : Number, pos : Expr, neg : Expr) extends Expr
case class Number(value : String) extends Expr
class SimpleLanguageParser extends JavaTokenParsers {
def expr: Parser[Expr] = ...
def number: Parser[Number] = wholeNumber ^^ { Number(_) }
}
Transform cond ~ expr ~ None into IfExpr(cond, expr,
null).
Now what do you get for
if (1) if (2) 3 else 4